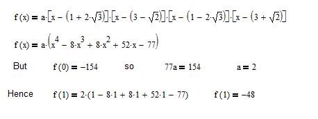
I guess I shouldn't have put the emphasis on the word "irrational" in my earlier reply. However, I think the terms with the surds should come in complementary pairs. For example, the cubic can be rewritten as follows:

All solutions are (I suspect) irrational, but two are in the form a + b√3 and a - b√3.