Another way of doing this using the property of logarithms is as follows:
3logx2 + logx18 = 2
logx23 + logx18 = 2
logx8 + logx18 = 2
logx(8*18) = 2
logx144 = 2
144 = x2
x = 12
Try a1 = -10 an = -2*an-1
That's right!
The following is one way to get at the distribution of players to sports:
There might well be a simpler way!
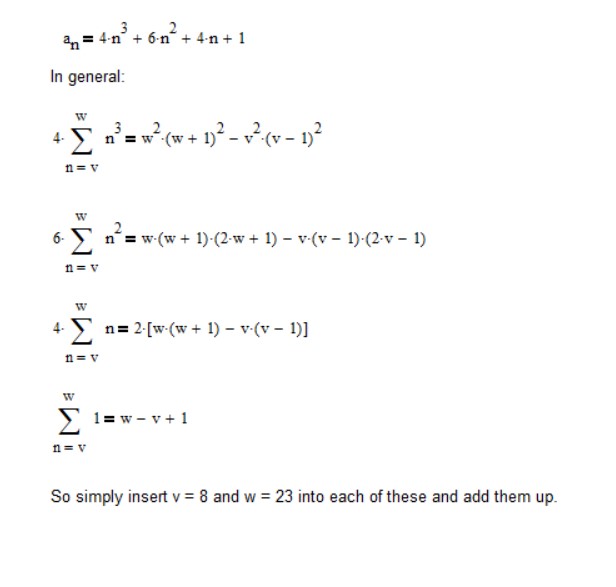
Look at each of the separate terms as follows:
You are correct. If both are at 90deg to the same line (AB) they are parallel.
For no real solutions we need a negative discriminant.
The discriminant here is (-m)2 - 4*5*8 or m2 - 160
We want m2 < 160, so, if m is to be an integer, its largest possible value is 12.
Volume of sphere is given by: \(V=\frac{4}{3}\pi r^3\) Set this equal to \(1256\pi\) and rearrange to find radius \(r\)
The scale factor usually refers to linear dimension scaling, so given the fact that volumes scale as the cube of linear distance, take the cube root of the ratio of the two volumes: \(^3\sqrt{\frac{12500}{100}}=5\text{ ft}\)
p = 1/256. q = 1 - 1/256 = 255/256
prob q occurs 256 times on the trot = q256