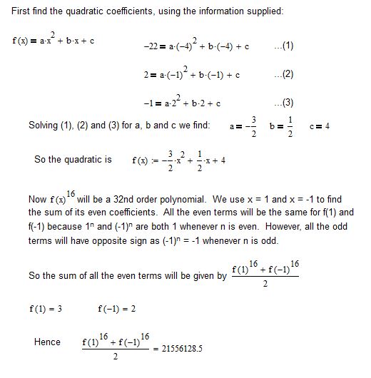
Write the three equations as:
-22 = 16a - 4b + c. (1)
2 = a - b + c. (2)
-1 = 4a + 2b + c. (3)
(3) - (2): 3a + 3b = -3. (4)
(1) - (2): 15a - 3b = -24 (5)
(4) + (5): 18a = -27. Divide by 9: 2a = -3. a = -3/2
Substitute for a in (4) or (5) to find b, then substitute both into any of (1), (2) or (3) to find c.