Yes.
Because for both f(1)^16 and f(-1)^16 the even power terms will have the same sign, the odd power terms will have the opposite sign. When you add the two together the odd terms will cancel, but the even terms will double. Hence you need to divide by 2.
A regular 2016-gon whose sides are 2 inches long has an inscribed circle and a circumscribed circle. What is the area of the region between the two circles?
The result is independent of the number of sides:
As follows:
Needs to be carefully checked!
A segment has endpoints P(1, 1) and Q(x, y). The coordinates of the midpoint of segment PQ are positive integers with a product of 36. What is the maximum possible value of x?
Use symmetry here.
1. There is nothing to distinguish x from y, so set x = y. (You should get x + y = 4)
2. Set 25z^3 = 5y^3 = x^3 (You should find a minimum value of 15).
Hi Melody, I'm not 100% sure I've got all of them. However, there can't be any higher polynomials as any extra multiplying coefficients would turn out to be zero. I certainly can't think of any other forms that would fit!
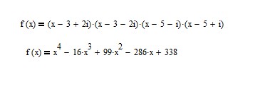
Find a monic quartic with real coefficients where two of the roots are 3 - 2i and 5 + i.
The roots occur in complex conjugate pairs:
Note that \(27=3^3 \text{ and } 8=2^3\)
So \(3^x = 3^{3(y-5)} \text{ and }2^y=2^{3(2x-4)}\)
Now equate powers so that you have two equations for x and y:
x = 3(y - 5) and y = 3(2x - 4)
Can you take it from here?