As follows:
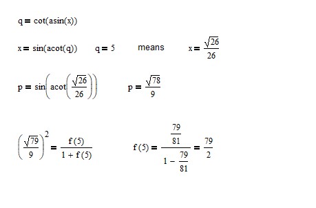
If p = sin(arccot(x)), q = cot(arcsin(x)), and p^2 = f(q)/(1 + f(q)), then find f(5).
We have \(k(x) = 3 - \sqrt{x-3}\)
Obtain by solving the quadratic \(x=k^2-6k+12\) for k and choosing the branch that is a reflection of \(x^2-6x+12\) in the line y = x.
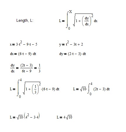
You are quite right. I simply calculated the total distance travelled, without thinking carefully about the paint!
The graphs below show the various stages:
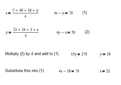
Here's a start:
Can you take it from here? (i.e. you have two simultaneous equations that you can solve for h and x).
Count the number of full blue squares. To this number add half the number of half-filled blue squares. Divide the result by 100 to get the fraction occupied by the blue squares (then multiply by 100 to get the percentage).
A 2015 digit number is multiplied by 54 to yield the last two digits as 68 in the same order. If the same number is multiplied by 46, the last two digits in order are?
x2 + y2 = 2x -6y + 6
x2 -2x + y2 + 6y = 6
x2 -2x + 4 + y2 + 6y + 9 = 6 + 4 + 9
(x - 2)2 + (y + 3)2 = 19
Eqn of a circle with radius2 = 19