4(x+3) = 4x*43 = (2*2)x.64 = (2x)2*64 = 92.64 = 5184
Thanks heureka, I've no idea why my images have sometimes been rejected and sometimes accepted during the last few days!
Get the length, say h, of the dotted line using Pythagoras' theorem. i.e. h = sqrt(252 - 72)
Then either calculate the area of the triangle and the rectangle separately, or use the fact that the area of the trapezoid (1/2)(7+4 +4)*h.
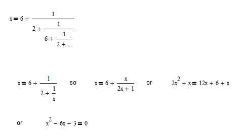
Yes but would they both be a valid solution to the original? The original expression has to be positive. Will that be true of the soutions to the quadratic?
Like so:
I'll leave you to solve the quadratic equation.
Wolfram Alpha certainly gives an integer for
It returns the following integer:
So it looks like k = 50, though I don't know how to prove it's unique.
Look at https://web2.0calc.com/questions/probability-question_35#r5
Here's a visual guide that might help:
The red triangle has area (1/2)*8*4 = 16 cm2.
The circle has area pi*42 = 16pi cm2
Hence probability that oint lis in red triangle = 16/(16pi) = 1/pi;
As follows:
\(\tan\theta = \frac{4}{-3}\\\tan\phi = \frac{-12}{\sqrt{3^2+4^2}}\)