(a) As follows:
Try (b) yourself using the same approach.
As follows:
Use \(c = f\lambda \text{ and }E = nhf\)
where c is speed of light, f is frequency, λ is wavelength, h is Planck's constant and n is number of photons. Make sure the units are consistent.
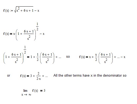
I get the following:
Notice that \(\frac{1}{49}=7^{-2}\) so we have \((7^{-2})^{4m-2}=7^{-10m-2}\) or \(7^{-8m+4}=7^{-10m-2}\)
We can equate exponents: -8m + 4 = -10m - 2 so 2m = -6 or m = -3
This graph should help:
Area of rectangle = 8*4 = 32
The two quarter circles make a half circle of radius 4, so Shaded area = (1/2)*pi*4^2 = 8pi
Hence non-shaded area = 32 - 8pi
Use Pythagoras' theorem to get the length of OP
OP = \(\sqrt{8^2+15^2}=17\)
Hence sin(x) = cos(y) = 8/17
If you select the Insert tab in MS Word then you should see Equation and Symbol options.