I think you mean the area between f(x) and the x-axis over the interval from x= 0 to 1.
Note: This is not a very good approximation to the true value of 3.
You can type factor(90) in the calculator on the home page here.
"The area of the triangle formed by points of intersection of parabola y=a(x-3)(x+2) with the coordinate axes is 12. Find a if it is known that parabola opens upward."
deleted
As follows:
\(f(-1) - 1 =f(-1001) - 1001\\ 5 - 1= f(-1001)-1001\\f(-1001)=1005\)
\(2^{15}\times3^6\rightarrow (2^5)^3 \times(3^2)^3\rightarrow (2^5\times 3^2)^3\)
so \(x^{1/3}=2^5\times3^2\)
which I'll leave you to simplify.
I used MathCad, but you could probably do the plot in Desmos (https://www.desmos.com/calculator).
Correct.
Judging by the examples below, you are right and your lecturer is wrong!
This is just defining the operator *.
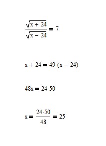
You replace a by x, b by 24 and the result by 7 so: