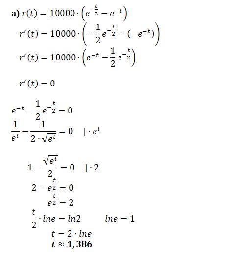
a)
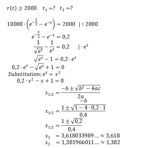
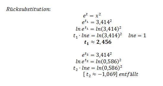
Bestimmen Sie die maximale momentane Zuflussrate. In welchem Zeitraum ist diese Zuflussrate größer als 2000 Liter pro Stunde?
Zu welchem Zeitpunkt nimmt die momentane Zuflussrate am stärksten ab?
b)
Wieviel Wasser befindet sich drei Stunden nach Regenbeginn im Tank? Zu welchem Zeitpunkt sind 5000 Liter im Tank?
c)
Zur Bewässerung von Gewächshäusern wird nach drei Stunden begonnen, Wasser aus dem Tank zu entnehmen. Daher wird die momentane Änderungsrate des Wasservolumens im Tank ab diesem Zeitpunkt durch die Funktion w
(in Stunden seit Regenbeginn, in Liter pro Stunde) mitbeschrieben.
1) Wieviel Wasser wird in den ersten Stunden nach Regenbeginn entnommen?
2) Ab welchem Zeitpunkt nimmt die Wassermenge im Tank ab?
3) Bestimmen Sie die maximale Wassermenge im Tank.
















