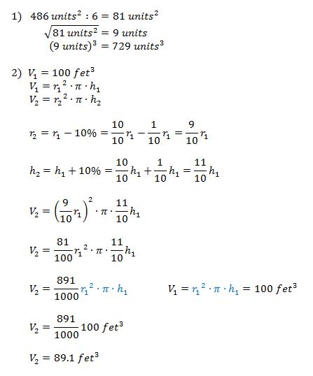
1) The surface area of a cube is 486 square units. What is the volume of the cube in cubic units?
2) The volume of a circular cylinder is 100 cubic feet. If the radius of its base decreases by 10% but the height increases by 10%, what is the volume of the new cylinder in cubic feet?

3) The space diagonal of a rectangular prism with integer unit dimensions is 13 units. What is the volume of the rectangular prism in cubic units?

4) A 3cm*4cm*5cm rectangular metal block was put into a well that took the shape of a right circular cylinder. When the block was submerged, the water level in the container had increased by 0.5 centimeters. What is the base area of the well in square centimeters?

5) The base of a right circular cone has area 9pi square yards. The lateral surface of the cone has area 15pi square yards. What is the volume of the cone in cubic yards?

6) Prism A has 9 edges and each of its faces is a regular polygon with side length 18. Prism B has 18 edges and each of its faces is a regular polygon with side length 9. What is the ratio of the volume of Prism A to that of Prism B? Enter your answer as a common fraction in simplest form.




