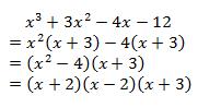
1. Factor the expression x^(3)+3x^(2)-4x-12 Show Your Work.

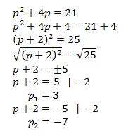
2. Solve the equation p2 + 4p = 21 by completing the square. Show your work. SHOW how you complete the square, show steps.

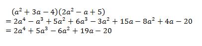
3. Multiply the polynomials (a2 + 3a – 4) and (2a2 – a + 5). Simplify the answer. Show your work.

