y = 7,5x + 40
y = 10x
10x = 7,5x + 40 | - 7,5x
2,5x = 40 | : 2,5
x = 16
y =10*16
y = 160
4x + 100° =180° | - 100°
4x = 80° | : 4
x = 20°
How many miles are in the shortest distance between them at the end of 3 hours?
A = 0.5*3*7*sin43°
A = 7.16
The arc length of an arc subtended by an angle measuring 11π/18 radians is 78.6 inches. What is the radius of the arc?
1 - (- 4) = 5
52 = 25
- 75 : 25 = - 3
a = - 3
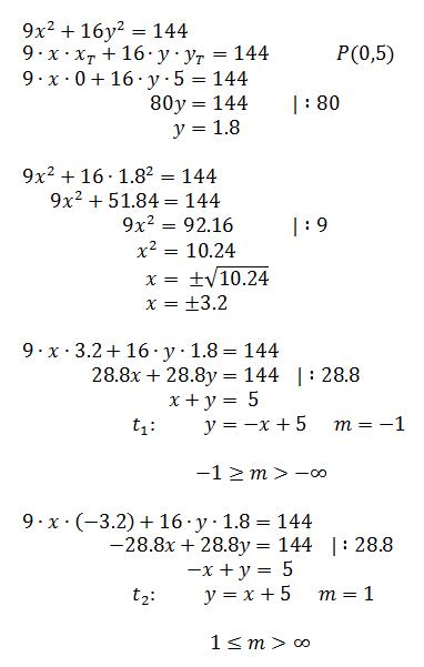
A line whose y intercept is (0, 5) intersects the ellipse 9x2+16y2 = 144 . Find all possible slopes of this line, express your answer in interval notation.
(C) Parabola
12*12 - 10*4 = 144 - 40 = 104ft2
2x+5°+ 65° = 180°
2x + 70° = 180°
2x =110°
x = 55°