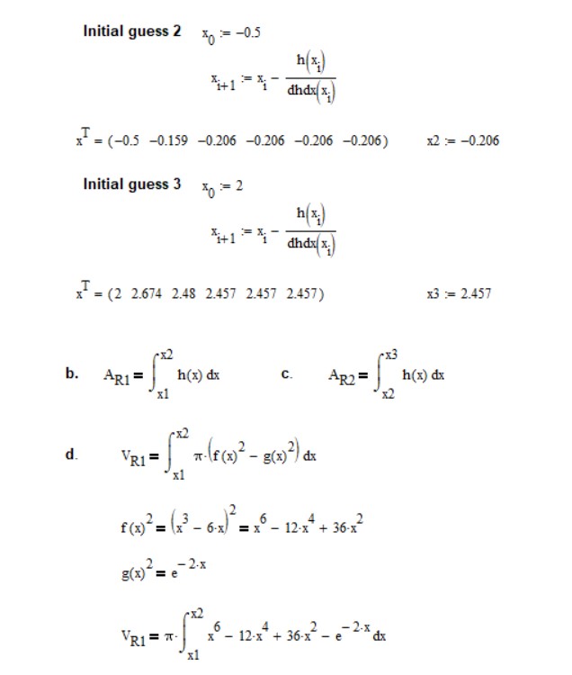
It's useful to draw the following graph (I'll leave you to do it in Geogebra or a graphing calculator). I've found the roots using a Newton-Raphson numerical method, but the question suggests you might be expected to find them simply by picking them off your graph.
For parts b, c and d I've indicated how it's done, but I'll leave you to do the integrations.

