See the answer here: https://web2.0calc.com/questions/help-please-been-stuck-on-this-for-weeks#r1
Like so:
I don't know if the numbers in the question have been changed since MathWizPro answered, but I see the following question:
"The sum of two numbers is 3 more than four times the first number. Their difference is 10 less than twice the second number. Find each of the numbers."
As follows:
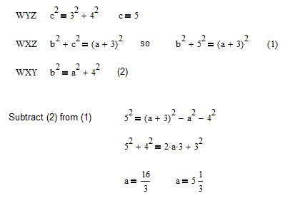
Here's one way of doing it:
Where is the graph?
The tangent of the angle is given by rise/run, so calcuate tan-1(rise/run)
Since you want the answer in degrees, make sure the calculator you use is in degree mode (or else convert after if it's in radian mode).
The roots of $x^2+8x+4$ are the same as the roots of $Ax^2+Bx+1$. What is $A+B$?
I suggest you enter questions 2 and 3 as separate questions.