As follows:
My last line should say, I'll leave you to work out the values of x and y for each part of the question!
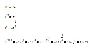
81^x = 64. What is 27^{x+1}?
To start, you have the difference of two squares, so you can write \((3^{1001}+4^{1002})^2 - (3^{1001}-4^{1002})^2=2\cdot3^{1001}\cdot2\cdot4^{1002}\)
This can be written as \(2\cdot3^{1001}\cdot2\cdot4^{1002}=4\cdot(3^{1001}\cdot4^{1001})\cdot4^1=16\cdot12^{1001}\)
So k = 16.
See https://web2.0calc.com/questions/help_50204#r2
Hmm. Check: If w = -1, x = -9, y = 6, z = 12, then w+x+y = -1 - 9 + 6 = 4 not -2. I think Guest made a mistake in inverting the matrix.
Here's the correct matrix inversion:
Here's a graphical solution:
80% of the tank holds 10litres, so 20% of the tank will hold 10/4 = 2.5 litres; hence a full tank holds 12.5 litres.
Solve for x.
The common ration r = -4/9. The infinite sum is given by a/(1-r), where a is the first term.
Can you take it from here?
What is the quotient and remainder when 2x^3 - 2x^2 - 3x - 7 is divided by x + 2?