Convert r = 2 / (7sinθ-cosθ) to rectangular form.
Enter your answer in slope-intercept form
Well, given a and b we can write
As follows:
If the curve is continuous then we must have:
At x = 2: a*2 + 3 = 2 - 5 or 2a = -6 so a = -3
At x = -2: 2*(-2) - b = -2 - 5 or -4 - b = -7 so b = 3
I get the following:
See https://web2.0calc.com/questions/i-still-need-help_1#r3
Let x = 0.51010101010....
10x = 5.1010101010....
1000x = 510.1010101010....
1000x - 10 x = 505
990x = 505
x = 505/990 = 101/198
Here's a ittle more help:
Now differentiate k with respect to \(\theta\) , set to zero and solve for \(\theta\) Select the solution that gives a value for k leading to the maximal area.
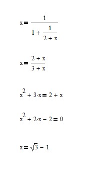
Here's a bigger hint:
(The other two solutions are ≈ -0.975 and 3.203)