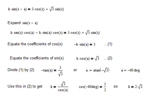
I assume you want to find k and a from ksin(x-a) = 3 cos x + √3 sin x, in which case:
This means
(11 + 8 + 14 + 14 + x)/5 = 13
Can you rearrange this to find x?
The laws of logarithms that you need are as follows:
ln(a*b) = ln(a) + ln(b) (and ln(a/b) = ln(a) - ln(b))
ln(an) = n*ln(a)
ln(e) = 1
See if you can take it from here.
To round to one significant figure 6
To round to two significant figures 6.4
As follows:
For cross products we have the following
a x a = 0 (simiarly for b x b etc)
a x b = - b x a etc.
(b + c) x a = b x a + c x a = -a x b - a x c etc.
Can you take it from here?
Find how many digits in the base 10 number 9^(8^7) has when written in base nine
My statement above that "There are only four possibilities ..." assumes that we are dealing with integers only.
I get the following:
The last digit is a 2, found as follows: