θ = 16π + π/4 as sin(16π) is zero and √2/2 is the opposite/hypotenuse of a 45-45-90 triangle.
As written the only way the question would make sense is if a = 0 and b = 17. However, like Melody, I suspect there is something missing.
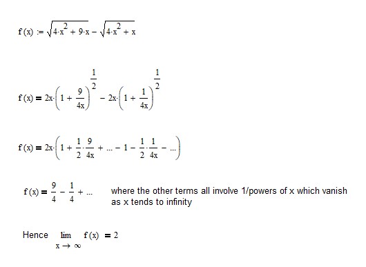
Like so
I'll leave you to compute the decimal version.
The question as written leads to a complex value for AD!!!! Hoever, if BD/CD = 2:5 then AD has a more sensible value (=8).
"If f(4) = 1 and f(2x) = 3f(x) for all x, then find f(64)."
As follows
To find how long the ball ia bove 80 m set h = 80 and solve for t.
To find how long it is in the air set h = 0 and solve for t.
In both cases there will be two values for t, only one of which will make sense in the context of the question.
Deleted - brain malfunction!!
One way as follows: