Part b can be done as follows:
Use the webcalc calculator on the Home page here.
As follows:
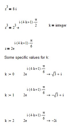
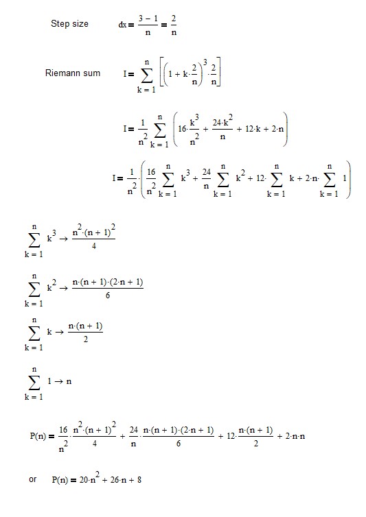
More generally, we have:
Like so:
As follows
I get the following
Let the two wieghts be w1 and w2.
w1/w2 = 2.5/3 (1)
w1 + w2 = 165 (2)
from (1) we have w1 = 2.5*w2/3 (3)
Put (3) in (2)
2.5/3*w2 + w2 = 165 or w2 = 165*3/5.5 = 90
Put this into (2) w1 + 90 = 165 so w1 = 75
You can decide if they can face each other!
Write the equations as follows: