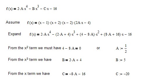
"find the values of A,B,C if (x-1),(x+2) and (x-2) are factor of 2Ax^4-Bx^3-Cx-16"
Use the button shown below
And do you really want the antilog of 10^-2.25, or do you mean the log of it?
Much neater Tiggsy.
Just copy and paste this expression into the web2.0calc calculator on the home page here, then press the = sign.
"One root of x^2 + 12x + k = 0 is twice the other root. Find k."
Here's a simple explanation for a specific value of n that might help before you try to understand a more general proof.
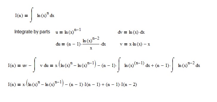
I suspect question 1 is meant to look like the following (also integration by parts):
5^5/2 = (5^2)*(5^1/2) = 25*5^1/2 = 25√5
As follows:
Count them here: