No! They might simply cross over at that point.
As follows:
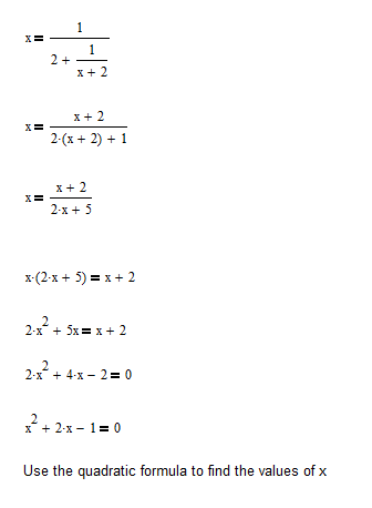
The following should help:
Let P be the number of people and B be the number of boys:
We are told: B = 0.75*P
and that 0.08*B = 6
Find B from the second equation and substitute that back into the first equation to find P.
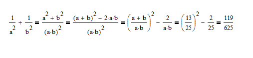
This should help:
If \(x = \pm \infty\) then \(g(x) = 0\) so a = 0
If \(x = 0\) then \(g(x)=1 \) so b = 1
5km^2 = 5*10^10 cm^2 (1km = 10^5cm)
Scale this down by 20000^2 for the map (map scales are usually linear values)
Area on map = 5*10^10/(2*10^4)^2 cm^2 = 5*10^10/(4*10^8) cm^2 = 125 cm^2
Here is 7.1.3
This should also help with 7.1.5 if you were struggling to understand the meaning of cis.
For 7.1.4 multiply out the bracketed terms (using foil), then collect real and imaginary terms together, remembering that i^2 = -1.