Right.
Hmmm!
A sine function on its own has a maximum of 1 and a minimum of -1 with a midline of 0; so what value does f(x) have if you replace the sine function in it by 0?
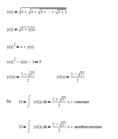
The ellipsis (the ...) usually indicates continuation forever. If the sequence is finite then perhaps the number of levels should be specified.
Like so:
In order to get a to be 1.04ms^-2 you have to assume a gravitational acceeration g = 10ms^-2 (rather than the more normal 9.8 or 9.81).
What is the equation?
True. I should have noted that the factors could be -1 and -47 as well as 1 and 47.
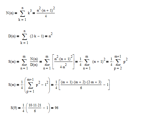
Like so (first considering the numerators and denominators separately):