Schau dir mal folgende Video an:
https://www.youtube.com/watch?v=W_dA0wwxfo0
https://www.youtube.com/watch?v=T6PJhIVx_OI
https://www.youtube.com/watch?v=prqb2Vk-Ptc
https://www.youtube.com/watch?v=WBrSaBSr6RY
So, fertig.
Falls etwas unklar ist, melde dich bitte.
Du hast ja jede Menge Aufgaben.
In einer Turnhalle hängt ein Kletterseil so dass noch 50cm dieses Seils auf dem Boden liegen.Zieht man das untere Seilende 2,50 m zur seite, so berührt es gerade noch den Boden.Wie lang ist das Seil?WIe groß ist der Winkel,, den das Seil dann mit dem Boden bildet?
Wie berechnet man das?
Hat eine Weile gedauert.
https://web2.0rechner.de/fragen/l-se-nach-y-auf
ganz unten steht die Lösung der 1. Aufgabe.
Die zweite muss ich noch rechnen - später
Bis wann brauchst Du die Lösung. Das wird eine quadratische Gleichung.
Es wird sehr viel Rechenaufwand geben.
Hier sind die Lösungen der 3 Aufgaben
Bestimme k
Wenn man di dazugehörigen Parabeln zeichnet, sieht man ganz deutlich den Unterschied von 4 Einheiten.
Über ein Dankeschön würde ich mich freuen.
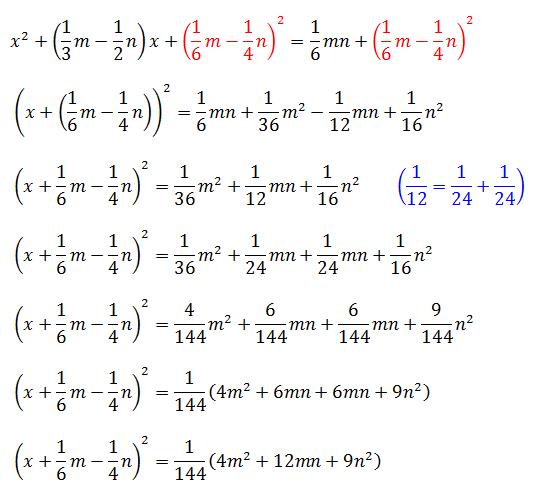
Löse nach y auf
Jede Zahl hoch 0 ist laut Definition immer 1. Deshalb ist 2*1 = 2*100.