2) Where's the picture?
4x - 6y = -12
-6y = -4x - 12 | :(-6)
y = 4/6x -12
Slope: 4/6 = 2/3
Does each function describe exponential growth or decay?
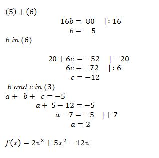
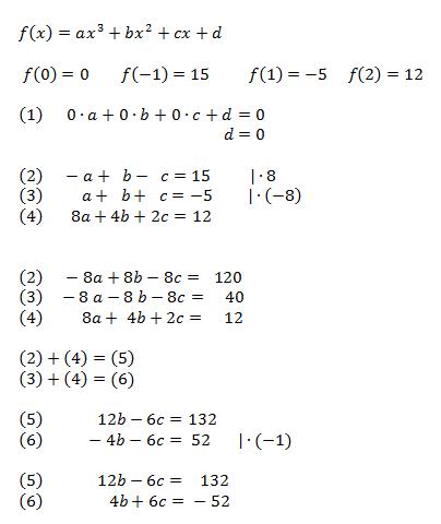
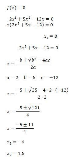
The polynomial has degree 3. If f(-1) = 15, f(0) = 0 , f(1) = -5, and f(2) = 12, then what are the -intercepts of the graph of f?
f(-1) = 15, f(0) = 0 , f(-1) = 5, and f(2) = 12 ????
5*12.5+4*2.6 = 72.9
78.4-72.9 = 5.5
5.5 : 2 =2.75
2.75 + 4 = 6.75
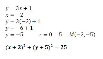
Equation of a circle
Center of a circle
Lösungsweg mit Kurve:
https://www.arndt-bruenner.de/mathe/scripts/gleichungssysteme.htm
The center of a circle lies on the line y=6x+2 and is tangent to the x-axis at (-2,0)