1) The graph of the parametric equations x= 2-3t, y= -1+5t is a line. What is the slope of this line?

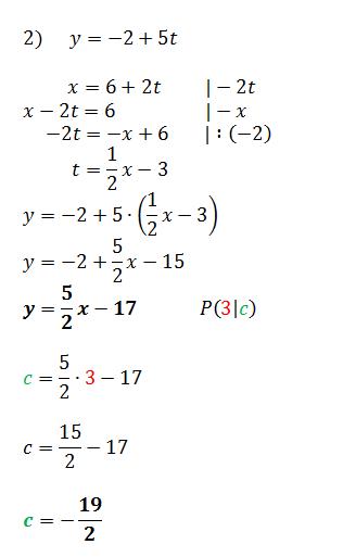
2)Find the value of c such that the point (3,c) is on the graph of the parametric equations x = 6 + 2t, y = -2 +5t


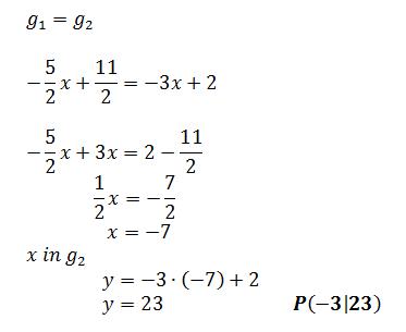
3)At what point does the graph of the parametric equations x = 3-2t, y= -2 + 5t, intersect the graph of the parametric equations x = -1+3s, y=5-9s?



