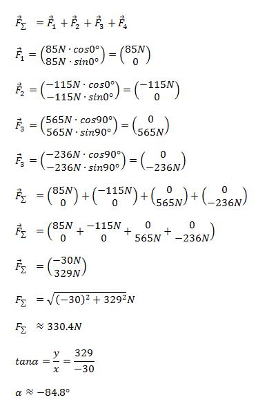
Find the magnitude and direction of the net external force on the crate.
What is the total weight of the box, 10 plates and 20 cups?
Nein, ist es nicht.
What is the equation of the flower garden represented on the blueprint?
My answer is 1.8 but im not sure about the direction.
Berechnen sie die mittlere Steigung von f in den Intervallen [2;0] und [0;3]
3 achtel plus 7 zwölftel
Ja, das ist richtig. Man muss das aber wie folgt schreiben:
(-40)*(-20) = 800
Ich komme bei dieser Aufgabe leider nicht weiter, mein Hauptproblem ist wie ich nun anfange wenn oben bereits (n+1) steht... Normalerweise steht ja dort immer (n)....
46 Personen sind 100%.Wie viele Prozent sind 40 Personen?