A point P lies on the hyperbola (x^2/)36 - (y^2)/16 = 1. The distance from P to one focus is 7. What is the distance from P to the other focus?

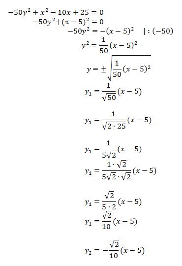
Determine if the graph of the equation below is a parabola, circle, ellipse, hyperbola, point, line, two lines, or empty.
x^2-50y^2-10x+25=0.


