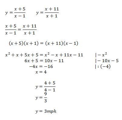
John and Jane go rock-climbing together. John climbs a height of (x+5) miles in (x-1) hours and Jane climbs a height of (x+11) miles in (x+1) hours. Is it possible that they were climbing at the same speed? If so, what must have been their speed, in miles per hour?

