The nine points of this grid are equally spaced horizontally and vertically. The distance between two neighboring points is 1 unit. What is the area, in square units, of the region where the two triangles overlap?
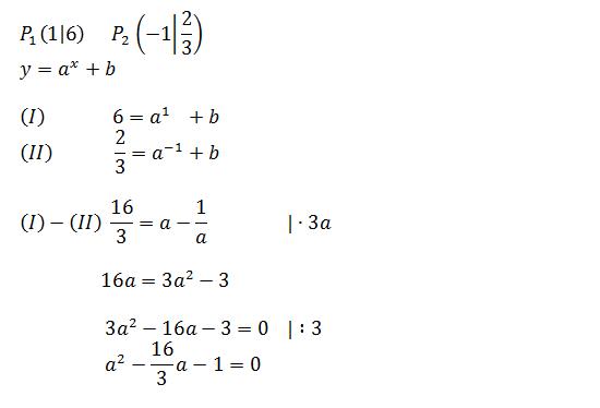
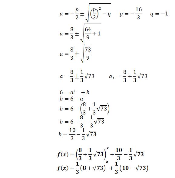
Find a formula for the exponential function passing through the points (-1,2/3) and (1,6) Help much apprieciated can't figure this one out.
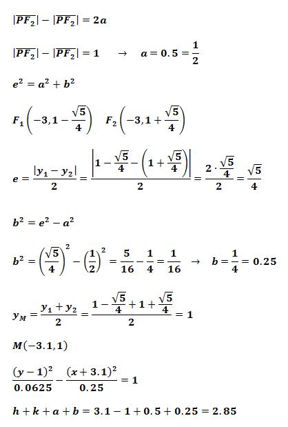
Let F_1 = ( -3, 1 - sqrt(5)/4) and F_ 2= ( -3, 1 + sqrt(5)/4). Then the set of points P$ such that |PF_1 - PF_2| = 1 form a hyperbola. The equation of this hyperbola can be written as ((y - k)^2)/(a^2) - ((x - h)^2)/(b^2) = 1,\]where a, b > 0. Find h + k + a + b.
Two circles of radius 1 overlap so that the center of each lies on the circumference of the other. What is the area of their union?
6-4/5=30/5-4/5=26/5=5 1/5
Wenn man Bild 1 und Bild 2 etwas anders zeichnet, wird alles deutlicher.
Gibt es zu der Aufgabe eine Fragestellung?
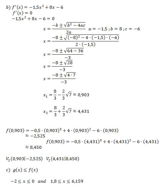
Given are the functions f(x)=-0,5x3+4x2-6x and g(x)=2-√(4+2x)
a. For what values of x does the function g have results?
b. Give the coordinates of the vertex of the graph of f
c. Plot the graphs of f and g and give the solution to g(x)≤f(x)
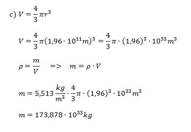
c. The mass of the planet is 5,972 * 1024 (g, kg or t)?