The hexagon below has interior angles that measure all the same. As shown, only five of the six side lengths are known: 10, 15, 4, 18, 7. What is the unknown side length?
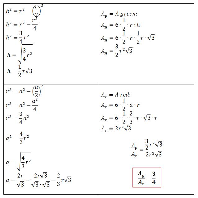
A yellow circle circumscribes a green regular hexagon and is inscribed in a red regular hexagon.
What is the ratio of the areas of the green hexagon to the red hexagon?
V + F - E = 2 Leonhard Euler
V + 30 - 62 = 2
V - 32 = 2
V = 34
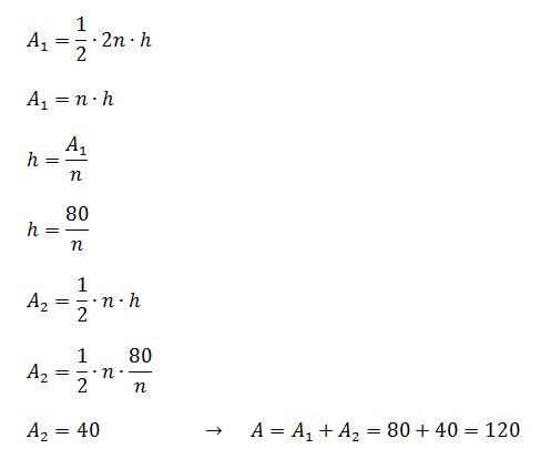
Area shaded region of the triangle ABC is 80 sq. units, what is the area of triangle ABC?
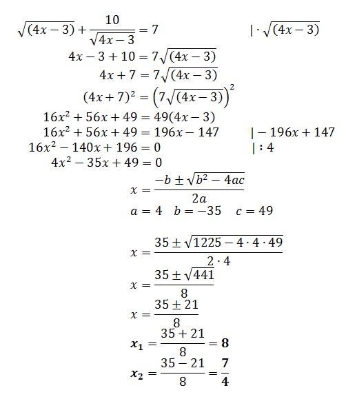
Solve sqrt(4x - 3) + 10/sqrt(4x - 3) = 7.
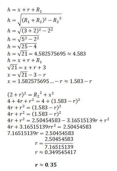
What is the radius of the small, red circle?
Solve x(y + z) = 39, y(x + z) = 60, z(x + y) = 63.
A frog is at the bottom of the well which is 20 meters deep. Everyday the frog jumps 5 meters upwards and fall 4 meters down.On which day the frog will reach the top?
I'm sorry. I copied the question wrong...
Given the circle center at O, OT ias perpendicular to PT, If arcNBT is a semi circle and minor arcNB is 60 degrees what is angle APT?