A ball is released at height(h) and is in free fall. When the ball is halfway to the ground, is its kinetic energy equal to half of its maximum kinetic energy? Explain.
Hint:
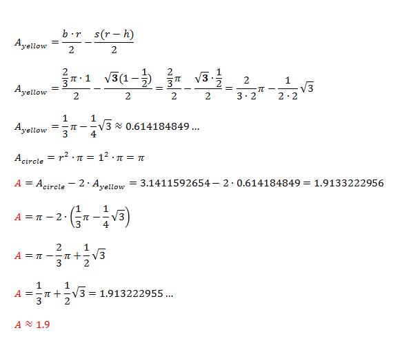
A green circle is drawn with radius 1. A red circle of radius 1 is drawn so that it passes through the center of the green circle. What is the area of the region of points that are inside the red circle but outside the green circle?
https://www.youtube.com/watch?v=hHpSwBf0DCA
Schau dir folgendes Video an:
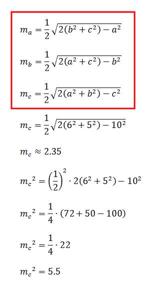
The lengths of the sides of a triangle are 5,6 and 10 cm respectively. Find the square of the length of the median of the greatest side.
The lateral area of a cone with radius 4cm is 60 cm square,
a) Determine the slant height of the cone, to the nearest centimetre.
b) Determine the height of the cone, to the nearest centimetre
This is my way:
You have to show it by calculation.
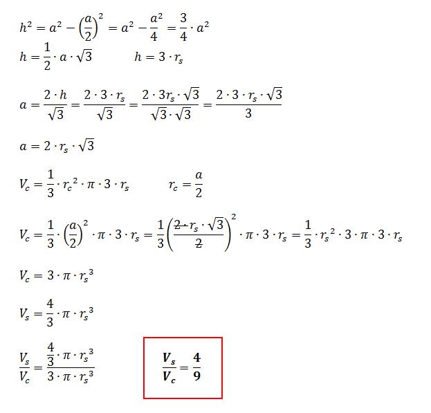
A perfect sphere is inscribed inside a right circular cone which has a vertex angle of 60 degrees. Find the ratio of the volume of the sphere to volume of the cone.
The red figure at the right is made of two hemispheres of equal radius. The blue cylinder at the left has the same radius and height as the red figure.
Which shape has a larger surface area?