x2 - 2x + 4 = -2x + 4 |+2x - 4
x2 = 0
x = 0
one solution
If a > 0 and a - 1/a = 5/6, then find a + 1/a.
Danke
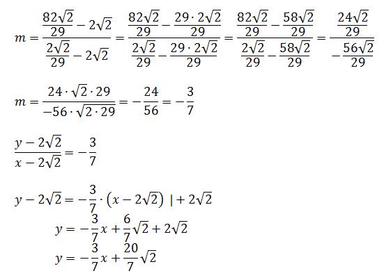
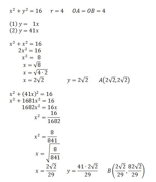
1.Points A and B are in the first quadrant, so that OA=OB (where O is the origin). If the slope of line OA is 1 and the slope of line OB is 41, then find the slope of line AB.
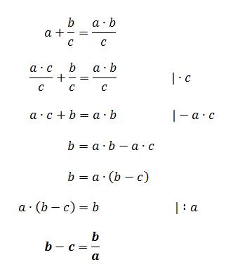
If a, b, c are nonnegative integers, b and c are relatively prime, and a + b/c = a*b/c, then what is b - c?
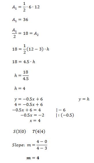
Let P=(0,6), Q=(12,0), and R=(0,0). A line passing through the point (3,0) bisects the area of the triangle. Find the slope of this line.
The graph of y = x^2 - 3x + 6 hav intercept (0,6)
110 ft : 5280 = 0.001893939...
100% ==> 104g
x ==> 4g
x = 4*100%/104
x = 3.846 %
x ==> 100%
245 ==> 70%
x = 245*100/70
x = 350