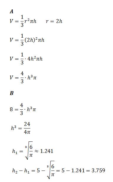
Grain is falling into from a conveyor into a conical pile at a rate of 8 cubic feet per minute. The diameter of the pile is four times the height of the pile.
A. Write an equation for the volume of the pile in terms of the height.
B. When the pile is 5 feet high, how has is the height of the pile changing?

C. When the pile is changing at a rate of 1.5 cubic feet per minute, how tall is the pile????
