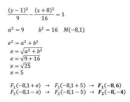
What are the coordinates of the foci of the hyperbola?
The general form of a parabola is y^2-4x+4y-8=0
What is the standard form?
Here are the solution:
How many pounds of dried apples and peaches will be used?
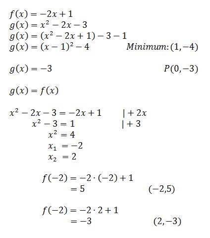
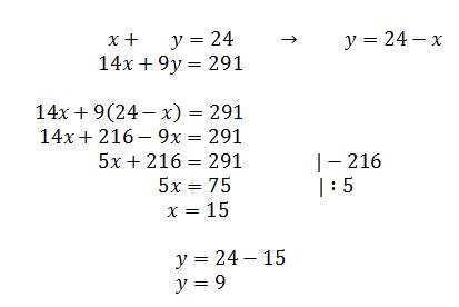
Find the solution to the sytem:
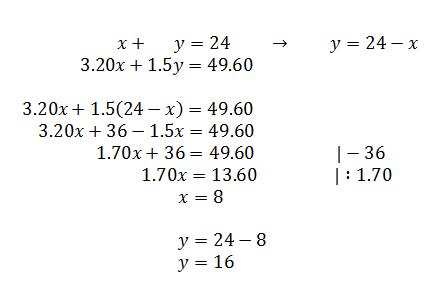
You will be making hanging flower baskets. The plants you have picked out are blooming annuals and non-blooming annuals. The blooming annuals cost $3.20 each and non-blooming annuals cost $1.50 each. You bought a total of 24 plants for $49.6. Write a linear system of equations that you can use to find how many of each type of plant you bought.
The base diameter of a right circular cone is 18 cm. If the lateral area is 516.4 cm2, find its volume in cubic centimeters
Do you know the Pascal triangle?
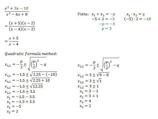
1. Simplify the expression (x^(2)+3x-10) / (x^(2)-6x+8) Show your work.
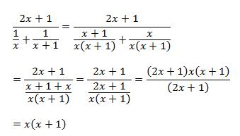
2. Write the expression as a simplified rational expression. Show your work. (2x+1)/((1)/(x)+(1)/(x+1))
Here are the images for the problem.