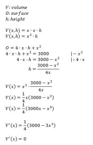
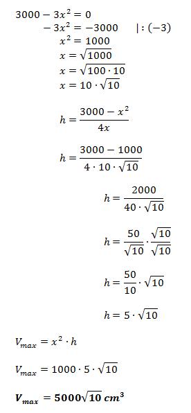
Ich bin so alt wie ich bin. Meine Mutter ist doppelt so alt wie ich. Mein Vater ist 10 jahre älter als meine Mutter. Zusammen sind wir 100 Jahre alt.
So soll es doch sicher heißen?
x + 2x + 2x + 10 = 100
5x + 10 = 100 |-10
5x = 100 | :5
x = 18
Du bist 18 Jahre alt. Deine Mutter ist 36 Jahre alt und dein Vater ist 46 Jahre alt.
