0,5a*8b = 4ab
Are you sure it's f(x)=4x^2+6? Or is it f(x)=4x+6?
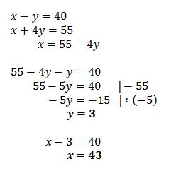
The difference between two numbers is 40. The first number and four times the second number is 55. Find the two numbers and show your work.
Jun Wei has 12 more 10-cent coins than 20-cent coins. The total value of all his coins is $5.40. Find the total number of coins he has.
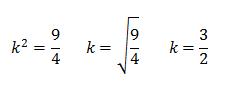
A square ACBD has an area of 4. The square is then dilated with a scale factor of X producing a square A'B'C'D' of area 9 Find the sum of all possible values of X?
Bei einer positiven Bruchzahl ist der Zähler um 7 größer als der Nenner . Wenn man Zähler und Nenner beide um 5 verringert, so wird der Bruch um 0,7 vergrößert.
The equation of the function is:
(n + 1)2 = n2 + 2n + 1
= n2 + 1 +1 + 2n -1
= n2 + 2 +(2n - 1)
Zur grünen 1 wurde die rote 1 addiert. Damit der Wert des Terms erhalten bleibt, wurde sie hinten wieder abgezogen.
Rechne den Term mal aus.
n2 + 2 + 2n - 1 = n2 + 1 + 2n = n2 + 2n +1
Thank you.
3 zehntel + 1 Viertel = ?