Consider a regular 23-gon. How many diagonals does the regular polygon have?
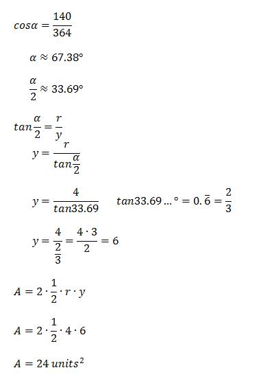
An triangle ABC, AB=13, AC=14 and BC=15. Let I be the incenter. The incircle of triangle ABC touches sides BC, AB, and AC at D, E, and F, respectively. Find the area of quadrilateral AEIF.
In a right triangle, one of the legs is 5 cm smaller than the hypotenuse, and the other leg is 10 cm smaller than the hypotenuse. Find the length of the hypotenuse
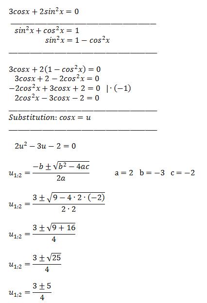
Solve for x
3cos (x) +2(sin)^2 (x)=0
Milk and cream are mixed together for a recipe.The total mixture is 1 cup.If the milk contains 2% fat,the cream contains 18% fat, and the mixture contains 6% fat, how much cream is in the mixture?
6.25 = 625/100 = 25/4 = 6 1/4
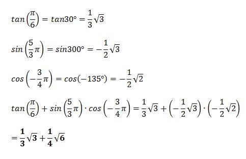
What is the exact value of the expression?
tan(π/6)+sin(5π/3)⋅cos(−3π/4)
Find the length of the median of trapezoid .PQRS.
One angle of a right triangle measures 60°. The side opposite this angle measures 9 inches.
What is the length of the hypotenuse of the triangle?
Give your answer in simplest radical form