The totel surface of the cylinder:
The length of a rectangle is 9 centimeters less than the width. what are the dimensions of the rectangle if it’s area is 162 square centimeters
Solve the equation on the interval [0,2π). 8cos^2x+4cosx=0 Select ALL the correct solutions?
180 - 40 = 120
120 : 20 = 6
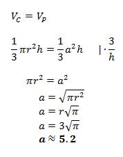
A cone with a radius of 3 meters has a volume of 72 cubic meters. A pyramid with a square base has the same height and the same volume as the cone. What is the length of one side of the pyramid's base? Round your answer to the nearest tenth.
Let M and N be constants. The graphs of the lines x+5y=7 and 15x+MY=N are perpendicular and intersect at (-8,3) Enter the ordered pair (M,N)
Two adjacent sides of a rhombus form a 60-degree angle. If each side of the rhombus measures 2 cm, what is the area of the rhombus, in square centimeters? Express your answer in simplest radical form.
The period of the cosine function is: p=2pi/b b=32 p=2pi/32 p=pi/16
The equation of the midline of the cosine function is y = 20 (36+4)/2=20
The amplitude of the cosine function is 16 36-20=16
f(x) = 16*cos(pi/16)x+20
Find constants A and B.
Send me a drawing, please.