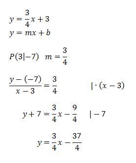
1. Find the equations of a line that is PARALLEL to y = 3/4x + 3 and passes through the point (3,-7). And it must but in point-slope form.


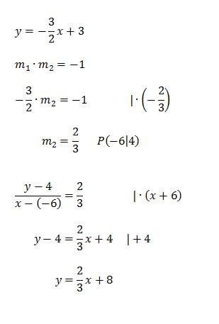
2. Find the equations of a line that is PERPENDICULAR to y = -3/2x + 3 and passes through the point (-6,4). And it must but in point-slope form.


