680 000 = 6,8*10^5
Du musst die Stellen nach dem Komma zählen. Diese Zahl schreibst du als Hochzahl (Exponent).
3*(-1) - 2x = - 6
-3 - 2x = - 6 |+3
-2x = - 3 | :(-2)
x = 3/2 = 1,5
3000+32345=35345
2,3*10^3
https://www.sofatutor.com/mathematik/videos/was-ist-eine-symmetrieachse-1
The graph of a cosine function shows a reflection over the x-axis, an amplitude of 5, a period of 6, and a phase shift of 0.25 to the right.
Square ABCD has sides of length 6 and the length of BE equals 2√ 2. The length of ECcan be written as a√b where a and b are integers and b has no perfect square factors. What is a+b ?
Which is the equation of the function described?
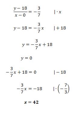
The slope of a line is -3/7 and the y-intercept of the line is (0,18). What is its x-intercept?
x - intercept: (42,0)
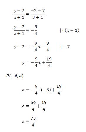
Find a if the point (-6,a) is on the line that passes through (-1,7) and (3,-2).