There were 4025 people at a food fair. The number of women was 4 times the number of children at the fair. If there were 448 fewer men than women, how many men were there at the fair?
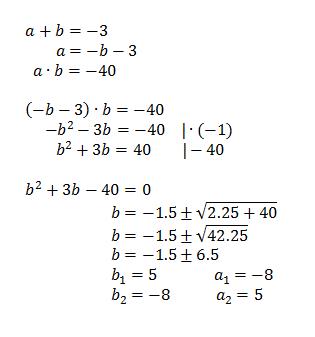
Find two numbers which add to give -3 and multiply to give -40.
45 - 23 = 22
hey! what other numbers can be the solution for cos alpha = -0.5 , rather than 120°?
120° + 360° = 480° 480° + 360° = 840° ... or 120° - 360° = - 240° ...
240° + 360° = 600° 600° + 360° = 960° ... or 240° - 360° = - 120° ...
Bei Aufgabe b) habe ich was anderes, denn Aufgabe a und b sind ja unabhängig voneinander.
a=3b a=15 hab ich vergessen!
270 : 33 = 8 Rest 6
https://www.mathepower.com/schrdiv.php
Ich wiederhole mich. Wenn noch Fragen sind, bitte melden.
999*6/9 = 666
Wenn noch Fragen sind, bitte melden.
The length of the segment between the points (2a, a-4) and (4, -1) is 2*sqrt10 units. What is the product of all possible values for a?