7/4 erweitern mit 25
7*25/4*25 = 175/100 = 1,75
Jaxon pulls a wagon along level ground with a force of 16 newtons on the handle. If the handle makes an angle of 35° with the horizontal, find the horizontal component of the force.
Mit der Lösung der Aufgabe d) bin ich nicht einverstanden. Die Leistung wird in W bzw. kW gemessen.
Ausserdem wurde in der Aufgabenstellung nicht nach der Leistung gefragt. Der Wirkungsgrad lässt sich auch mit der Arbeit berechnen.
Deshalb wurde nicht weitergerechnet.
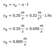
The velocity at light gate A is 0.20 m/s, the acceleration is 0.32 m/s2, and the time taken is 1.9 s.
Calculate the velocity of the ball at light gate B.
150*0.06 = 9
1/2 Mit dem Schrägstrich oder du verwendest LaTeX.
(19x-17)-(3x-72) = -13+(13x+83) Klammern auflösen
19x-17-3x+72 = -13+13x+83 Zusammenfassen
16x +55 = 13x+70 | -13x
3x +55 = 70 |-55
3x = 15 | :3
x = 5
Ich war erst mal wegen der Dichte etwas verwirrt. Das muss doch in der Klammer 1,35 g/cm^3 heißen. So leicht ist ja Kohle auch nicht.
Den Rest muss ich auch noch überlegen.
Ich hoffe dass ich richtig überlegt habe.
Hier ist schon mal deine Aufgabe: Was ist mit der Dichte? In der Klammer der Wert stimmt doch nicht.
Du musst oben auf das Symbol Bild klicken und dann auf "oder Hochladen" klicken. Dann musst du auf durchsuchen klicken und den Ordner öffnen, in dem sich das Bild befindet. Bild anklicken, bis es blau umrahmt ist, dann auf öffnen "ich bin kein Roboter" Häkchen setzen , hochladen und ok.