Hallo, wenn ein Wald mit 60000m³ Holz nach fünf Jahren durch starkes Abholzen nur noch 45000m³, hat wie lautet die lineare Gleichung? Wie ist der Holzbestand nach 7 Jahren und in wievielen Jahren ist der Bestand um die Hälfte gesunken. lg Mathias
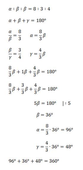
The ratio of the measures of the angles in a triangle is 8:3:4. Find the measures of the angles.
The length of a rectangle is 4 inches less than twice its width. If the area of the rectangle is 70 square inches, what are its dimensions?
Alle Prozentzahlen addieren: 97,1%
Niete: P(X) = 0,971
Treffer: P(X) = 1 - 0,971 = 0,029
Ich möchte gerne wissen, wie ich die Seitenlängen eines Dreiecks rausbekomme.
Ich weiß, dass die Winkel 25°, 90° und 65° sind. Außerdem weiß ich, dass die seite gegenüber von dem 90° Winkel 1,5 Meter ist.
Wie lang sind die anderen Seiten?
Wie viele schwarze Kugeln sind in der Urne? Angabe fehlt.
https://web2.0calc.com/questions/help_13522#r1
p/2 = 16 - 0
p/2 = 16
p = 32
Solve the equation on the interval [0,2π) .
4cos^2x−2cosx=0